A farmer from Techiman, Mariam Alhassan, has triggered a legal showdown at the Supreme Court after filing a landmark suit challenging the government’s regulatory regime for industrial cannabis cultivation.
Mariam Alhassan has invoked the original jurisdiction of the apex court, asking it to nullify what she describes as prohibitive licensing fees and restrictive entry conditions governing the sector.
According to her, the current framework has effectively shut out ordinary Ghanaians from participating in what is projected to become a multi-billion-dollar industry.
The suit, filed on February 27, 2026, lists the Ministry of Interior, the Narcotics Control Commission (NACOC), the Ministry of Food and Agriculture, and the Attorney-General as defendants.
In her filing, she argues that the authorities departed from established principles of fairness in administrative decision-making.
“The Defendants acted unfairly and in breach of legitimate expectation by imposing materially higher… fees without reasonable accommodation of the consultative process,” the court documents state.
Licensing of medicinal cannabis cultivation to begin – NACOC
She maintains that although stakeholders had pushed for a tiered structure to make room for smaller players, the final framework failed to reflect those recommendations.
Central to her case is the assertion that the state has introduced “materially higher, unscaled, and cumulative fees” that render participation by smallholder farmers practically impossible.
She contends that the fee regime violates Article 23 of the 1992 Constitution, which guarantees administrative justice and fair treatment.
The plaintiff further argues that despite broad consultations in which “proportionate, tiered, and risk-based regulation” was proposed, regulators opted instead for what she characterises as an excessive and exclusionary fee system.
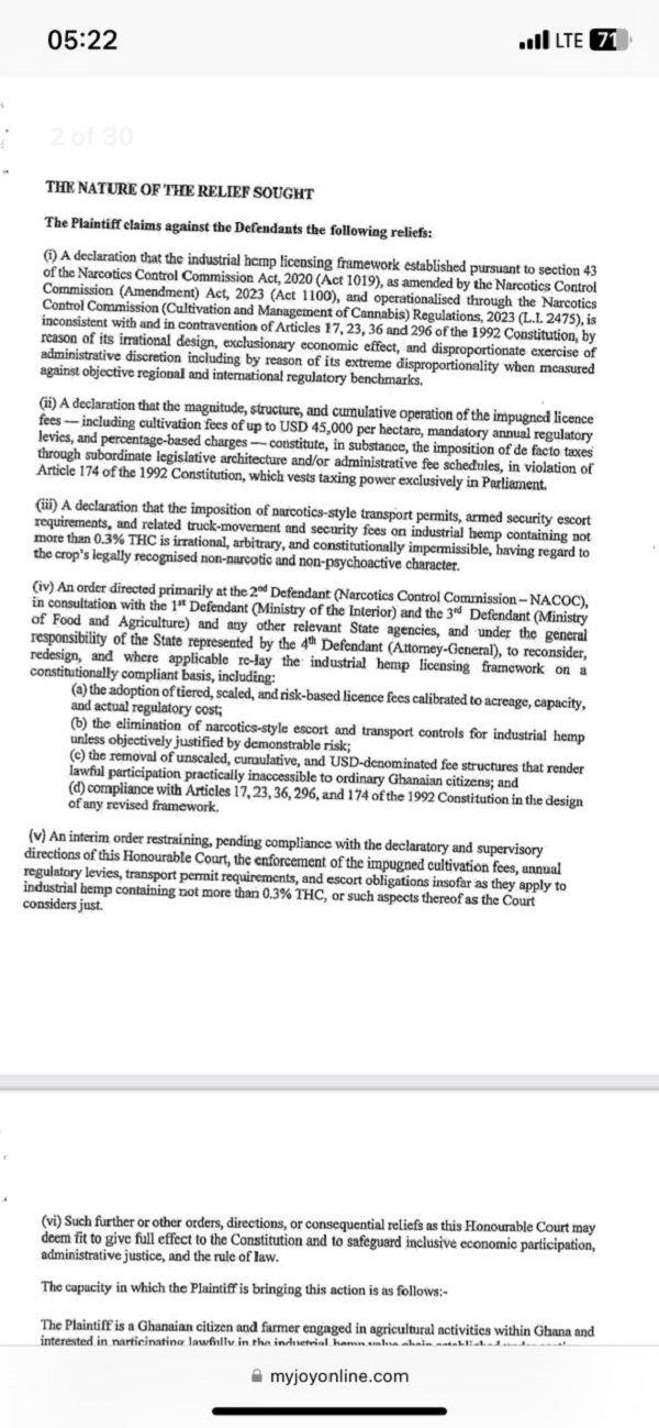
In her reliefs before the court, Alhassan is seeking a declaration that the industrial hemp licensing framework established under section 43 of the Narcotics Control Commission Act, 2020 (Act 1019), as amended, and L.I. 2475, is inconsistent with Articles 17, 23, 36, and 296 of the 1992 Constitution.
She claims the structure is marked by “irrational design, exclusionary economic effect, and disproportionate exercise of administrative discretion.”
She is also asking the court to rule that the licence fees, which can reach up to 45,000 US dollars per hectare, along with annual regulatory charges and percentage-based levies, amount to de facto taxation.
In her view, this contravenes Article 174 of the Constitution, which vests the power to impose taxes solely in Parliament.
The suit also challenges the requirement for narcotics-style transport permits and armed security escorts for industrial hemp containing no more than 0.3 percent THC.
Mariam Alhassan argues that these measures are irrational and arbitrary given the low psychoactive content of industrial hemp.
Beyond declarations, she wants the court to order NACOC and the relevant ministries to review and redesign the regulatory framework to ensure constitutional compliance.
She is further seeking an interim order to suspend the enforcement of the disputed fees, levies, and transport requirements until the matter is resolved, along with any additional directives the court may consider necessary to protect inclusive economic participation and uphold the rule of law.




AK/BAI
Watch NPP MPs in all-black as President Mahama delivers 2026 SONA
We didn't arrest the dollar, we strengthened the cedi to fight other currencies - Mahama









